發布日期:2025-5-9 11:15:17
1、引言
損傷容限評估方法已成為航空發動機壽命限制件的設計與服役管理的核心內容,其中轉子部件裂紋擴展壽命的準確預測是損傷容限評估的關鍵環節[1-3]。與標準緊湊拉伸(CT)試樣中的穿透型初始裂紋不同,轉子壽命限制件的初始裂紋往往萌生于機械加工導致的表面缺陷或者冶金過程引入的內部缺陷,具有一定的三維形貌特征。對于發動機輪盤中的典型半圓形埋入表面裂紋,從裂紋前緣與輪盤表面的交點到裂紋前緣最深點,應力狀態由近平面應力狀態逐漸轉變為近平面應變狀態,而這種裂紋前緣不同位置應力狀態的不同,會引起裂紋尖端微小區域約束效應(又稱拘束度)的不同,進而導致裂紋擴展有效驅動力不同[4-7]。在分析表面疲勞裂紋擴展問題時,考慮裂紋前緣不同位置的三維約束效應可以建立更為準確的裂紋擴展模型,進而評估轉子壽命限制件的損傷容限性能,支撐發動機安全設計與服役管理。
求解裂尖約束效應的基礎是建立能夠準確描述裂尖應力應變場分布的方法。基于線彈性條件下的裂尖區域應力強度因子K場或彈塑性條件下裂尖HRR(Hutchinson-RiceRosengreen)解,學者們提出了包括K-T、J-Q、K-T-Tz、J-T、J-A2、J-Q-Tz等雙參數、三參數描述方法[8-12]。Williams等[13]首先建立了裂尖應力場K-T雙參數描述,使用非奇異T應力提高K的描述精度,并反映面內約束,O'Dowd等使用Q參數來反映彈塑性條件下裂紋面內的約束效應[14]。在描述面內約束的T、Q參數基礎上,郭萬林[15]引入了離面約束因子Tz表征面外約束效應,以更全面反映三維裂紋體尖端的應力狀態。于培師等[16-17]分析了不同構件的角裂紋、表面裂紋等三維裂紋前緣不同位置處的Tz分布,并提出將裂紋前緣的Tz分布等效為不同厚度板內中心穿透裂紋前緣的Tz分布。趙軍華等[18]基于Tz提出考慮面外約束的K-Tz雙參數理論。為了結合面內約束和面外約束的影響,郭萬林等[19]進一步提出了K-T-Tz、J-Q-Tz等三參數理論描述裂紋前緣三維應力場,并通過對比K-T、J-Q分析結果,指出三參數理論能更準確地解釋三維應力場。
鑒于三參數方法對裂尖應力場描述的復雜性,一種思路是構建一個綜合性參數作為約束效應的表征參數,Mostafavi等[20]使用當前裂尖塑性區的面積與高約束作用下裂尖塑性區面積比值φ來表征裂尖約束效應,該參數不適用于大范圍屈服情況。楊杰等[21]提出了一個基于裂尖等效塑性應變面積的統一約束因子,綜合反映裂尖面內和面外的約束效應。考慮到塑性應變面積計算的復雜性,徐建勇等[22]進一步使用裂尖張開位移比值作為綜合約束因子。然而上述研究多用于裂紋體的斷裂韌性研究,針對不同約束作用下的裂紋擴展研究,Newman[23]首先在條帶屈服模型基礎上引入裂尖約束因子,將其定義為最大主應力與屈服應力之比,指出金屬材料平面應力和平面應變狀態下的約束因子分別為1和3。Machniewicz等[24]指出,裂紋張開時裂尖前方塑性區內不同位置的約束因子呈拋物線型分布。Newman等[25]通過數學處理給出了裂尖前方平均約束因子,指出其會隨裂紋加載情況、裂紋體厚度和裂尖塑性區大小發生變化。Daniewicz[4]使用應力強度因子切片合成方法近似計算三維表面裂紋的裂紋面位移和裂尖塑性區尺寸。郭萬林等[26]、Wang等[27]和McMaster等[28]分別給出了約束因子的經驗公式。吳連生等[29]、許磊[30]、周斌[31]利用約束因子預測了不同厚度穿透裂紋和表面裂紋的裂紋擴展速率。這些模型或者求解復雜或者需要基于試驗數據擬合,如何快速、準確計算不同載荷和厚度下的裂尖三維約束因子,成為裂紋擴展預測的關鍵因素之一。
隨著有限元技術的不斷發展,結合數據分析程序進行聯合仿真,為三維裂紋前緣不同位置處拉伸塑性區和變約束因子的計算提供了有力手段。本文將采用Newman提出的約束因子描述裂紋前緣約束程度,以TC4鈦合金表面裂紋小尺寸試樣為研究對象,構建裂紋前緣不同位置約束因子快速計算方法,獲得約束因子隨外加載荷、裂紋尺寸以及裂紋形狀的變化規律,并與傳統的計算模型進行對比。
2、分析方法
2.1表面裂紋試樣有限元模型
本文所研究材料為直接從發動機風扇盤中心孔區域取樣的TC4鈦合金。為確保該材料的各項同性特征,為后續三維約束因子計算提供支撐,從周向(CD)、徑向(RD)和軸向(AD)三個方向分別取樣,并進行金相分析、硬度測試和拉伸試驗。圖1給出了TC4合金的三維顯微組織,各方向上均呈現出典型等軸組織特征,平均晶粒尺寸分別為21.6μm、21.8μm和23.1μm,基本一致。三個方向維氏硬度測量結果分別為316HV、324HV和321HV,呈現出與組織一樣的均勻性特征[32]。

圖2為TC4鈦合金三個方向的拉伸曲線,三個方向拉伸性能差異較小,結合組織和硬度測試結果,表明本研究所用TC4鈦合金材料具有各向同性特征,為后續表面裂紋三維彈塑性應力場分析和約束因子計算提供了支撐。采用彈塑性Ramberg-Osgood模型描述拉伸曲線:

式中,ε0=σ0/E,屈服強度σ0=960MPa,彈性模量E=110GPa,參數α=0.227,n=14.33。

參考文獻[33]中表面裂紋(surfacecrack,SC)試樣尺寸并考慮疲勞試驗機實際夾持要求,設計圖3所示SC試樣,其中夾持段為Φ12.7mm圓棒,標距段為43.38mm2的矩形截面。在標距段中間位置置入表面裂紋如圖3(b)所示,其中半軸長分別為a和c,試樣厚度為t,遠端外加應力為S。考慮到試樣對稱性,選取試樣中段的1/4部分進行有限元建模,并保證加載面和邊界條件不影響表面裂紋周圍應力場。

保持試樣尺寸不變,設定不同的裂紋深度比a/t、裂紋半軸比a/c以及加載應力S/σ0,以研究不同裂紋尺寸、形狀以及外加載荷水平下的約束效應,具體取值如下:a/t=0.05,0.1,0.2,0.4,0.6;a/c=0.75,0.9,1,1.1,1.25,1.4,1.55;S/σ0=0.45,0.5,0.54,0.59。對上述參數進行組合計算,累積共5×7×4=140個算例。
2.2自適應程序化網格生成方法
考慮到算例較多,建立自適應程序化表面裂紋試樣單元設置和網格劃分流程,實現不同算例網格模型的快速構建,具體步驟為:
(1)求解表面裂紋應力強度因子Kmax。利用公式(2)估算表面裂紋在表面點和最深點處裂紋面內的塑性區尺寸rp,其中表面點和最深點處的約束因子α分別取為1和3。

(2)將裂紋前緣線周圍空間分割為管狀區域以便于網格劃分。將該管狀區域分為內管狀域crackt,i和外管狀域crackt,o,對應的半徑分別為Rt,i和Rt,o。對Rt,i和Rt,o進行賦值使得裂紋前緣最小塑性區尺寸rp,min≥Rt,i且最大塑性區尺寸rp,max≤Rt,o。
(3)在管狀域外圍劃分過渡域crackb作為網格過渡區域。設定該過渡域的截面尺寸為Lb,r≈2Rt,o,Lbox,s≈2Rt,o。
(4)按上述方法和尺寸要求,對含表面裂紋的幾何模型進行分割,分割后的實體均可劃分六面體網格。含表面裂紋幾何模型的分割方式、局部關鍵尺寸如圖4(a)所示。
(5)設定裂紋前緣節點數Nf和過渡域crackb外側節點數Nb,c。為了保證過渡域中網格從裂紋前緣一側到無裂紋一側能夠順利過渡,一般設定Nb,c=Nf/3。
(6)設定內管狀域crackt,i和外管狀域crackt,o的截面徑向節點數目Nt,i和Nt,o,以及周向節點數目Nθ,以保證塑性區有足夠的網格數。同時為了確定合適的網格尺寸以保證計算結果的準確性,對裂尖前方不同網格密度的有限元模型進行多次試算發現,當裂尖前方塑性區內網格數目在10個以上時,最終計算的約束因子數值變化在1%以內,該結果與Daniewicz等[34]研究一致。本文設定周向節點數Nθ=16,確保塑性區內至少包含10個單元。
(7)利用管狀域截面徑向和周向結點進行管狀域截面的網格劃分,然后通過掃掠方式沿裂紋前緣曲線實現裂紋前緣方向管狀域的整體網格劃分。截面網格與裂紋前緣曲線垂直,保證每個裂紋前緣位置處截面網格均為圍繞裂紋尖端的同心環形分布。
(8)設定過渡域crackb的截面節點數分別為Nb,r≈8,Nb,s≈4,合理設定其余實體的網格節點數以保證單元尺寸過渡平順。

(9)使用六面體二次減縮積分單元對全部有限元實體進行網格劃分,保證網格質量滿足彈塑性分析要求。將與裂紋前緣相連的單元面坍縮為裂紋前緣上的線段,坍縮到同一位置的節點并不會縮并為一個節點,在后續加載過程中各節點仍可自由移動。這樣處理能近似取得裂紋前緣接觸單元內應變r-1的漸近趨勢。圖5給出了表面裂紋試樣程序化網格劃分流程。

通過Abaquspythonscript前處理腳本對所有表面裂紋算例進行網格劃分。圖6(a)為表面裂紋不同區域網格劃分情況,可見所有區域均可由六面體單元組成,網格由裂紋區的密集分布逐漸過渡到試樣表面的相對稀疏狀態。圖6(b)給出了最終的網格模型和邊界條件,在模型端面施加軸向拉伸載荷,在對稱面施加對稱邊界條件。

2.3裂紋前緣三維約束因子計算
在Newman等基于條帶屈服模型的約束效應研究中,約束因子α通常基于三維彈塑性有限元分析的裂尖塑性區內應力分布進行求解。對于表面裂紋前緣任意一點,將該點裂尖塑性區內不同位置處垂直于裂紋面的拉伸應力σyy與屈服強度σ0比值進行平均,即得到約束因子α:

式中,m為裂紋前緣塑性區中單元編號,M為塑性區內單元總數目,(σyy/σ0)m是塑性區內裂紋面法向拉伸應力與屈服應力的比值,Am是單元m的面積,At是塑性區中所有單元的總面積。圖7給出了約束因子α的計算示意圖。

利用公式(3)對裂紋前緣不同位置的塑性區約束因子α進行計算。考慮到計算過程復雜且算例數量較大,通過編制Abaquspythonscript后處理腳本實現上述計算過程。裂紋前緣不同位置使用歸一化弧度φ表示,φ從0到1表示裂紋前緣從一側與試樣表面交點位置到另一側與試樣表面交點位置,φ=0.5表示裂尖前緣位于試樣內部最深位置。
3、結果與討論
3.1表面裂紋前緣應力分布
圖8(a)為典型載荷下表面裂紋前緣彈塑性有限元分析結果,圖中灰白顏色區域表示裂尖塑性區,塑性區內至少包含10個單元,驗證了程序化網格劃分方法的有效性。裂尖塑性區呈現出試樣表面位置尺寸大、內部位置尺寸小的特點。為進一步深入分析,提取裂紋前緣裂紋面上塑性區的邊界,與裂紋前緣一同繪制,如圖8(b)所示。從圖中可見,裂紋面內裂尖塑性區尺寸在試樣淺表層處達到最大,最外層表面處的塑性區尺寸略低于淺表層處尺寸;隨著裂紋前緣深度的增加,裂紋面內塑性區尺寸迅速減少并逐漸穩定,在最深點處達到最小尺寸。

為了研究表面位置和內部最深處裂紋前緣裂尖應力場,提取相應位置塑性區內裂紋面拉伸應力σyy/σ0隨到裂尖距離的分布曲線,如圖9所示。為便于比較,到裂尖距離通過相應位置的塑性區尺寸rp進行歸一化處理。圖中可見,表面和內部最深處裂紋前緣裂紋面上的拉伸應力隨到裂尖距離的增大均呈拋物線型分布,與Machniewicz等[24]研究結果一致。內部最深處裂尖塑性區內的拉伸應力整體均大于表面位置裂尖塑性區內拉伸應力且下降趨勢更為緩慢,這是裂紋前緣不同位置約束作用不同導致的結果。

3.2表面裂紋前緣三維約束因子
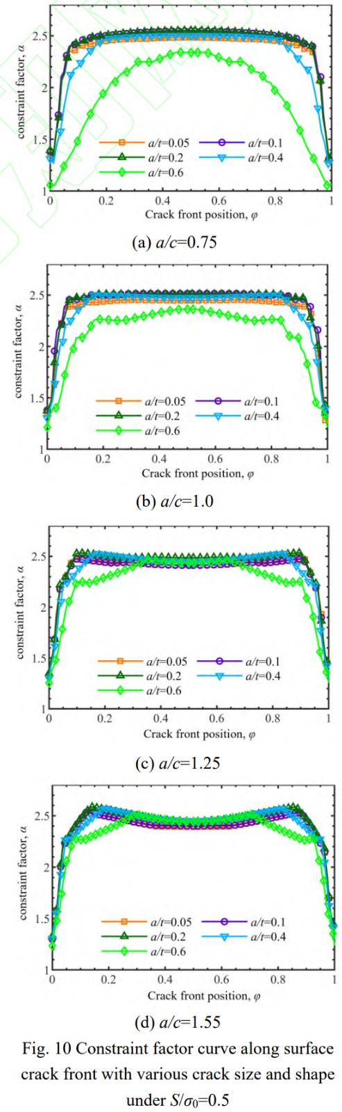
圖10給出了遠場應力S/σ0=0.5情況下,4種裂紋形狀(半軸比a/c=0.75,1.0,1.25,1.55),5種裂紋尺寸(裂紋厚度比a/t=0.05,0.1,0.2,0.4,0.6)表面裂紋前緣不同位置約束因子α分布情況。從圖中可以看出,α隨著裂紋前緣的位置變化近似呈“倒U型”,表面點處α數值在1.25左右,接近于平面應力狀態。隨著裂紋前緣位置遠離試樣表面,α迅速增大進而趨向穩定,最深處α數值在2.5左右,接近平面應變狀態。相同裂紋形狀a/c下,當裂紋相對尺寸a/t從0.05增大到0.4時,表面和最深處α變化相對較小,淺表層處則有較為明顯的下降;當a/t繼續增大到0.6時,裂紋前緣不同位置處α均出現明顯下降。此時裂紋尺寸已大于試樣截面厚度一半,試樣整體約束作用顯著減小,進而導致α整體下降。相同裂紋尺寸-試樣厚度比a/t下,當半軸比a/c從0.75增大到1.55時,α整體變化不大,可見約束因子主要受表面裂紋深度方向最大尺寸影響。
圖11為裂紋相對尺寸a/t=0.4時,不同應力水平下(S/σ0=0.45,0.5,0.54,0.59),4種裂紋形狀(半軸比a/c=0.75,1.0,1.25,1.55)表面裂紋前緣不同位置約束因子分布情況。圖中可知,固定裂紋尺寸和形狀,隨著外加應力水平的增大,表面點處α基本保持不變而最深點處的α有較為明顯的下降。此外,半軸比a/c=1.55情況下α隨載荷增大的下降幅度要小于半軸比a/c=0.75的情況。當裂紋相對尺寸a/t保持不變時,a/c越大表示裂紋表面長度越小;可見,裂紋尺寸較小時,α對載荷變化更不敏感。


針對典型尺寸、形狀和應力水平下的表面裂紋,分別提取表面位置和最深位置處的裂紋前緣α,繪制等值圖如圖12和圖13所示。對比兩圖可以發現,最深點處α隨裂紋尺寸和裂紋形狀變化的分布規律在不同加載水平下基本一致,最大值均分布在a/t=0.15,a/c=0.8附近;而表面點處α隨裂紋尺寸和裂紋形狀變化的分布規律在不同加載水平下有明顯差異:載荷水平較小時,α最大值出現在a/t=0.6,a/c=1.2附近;載荷水平較大時,α最大值出現在a/t=0.1,a/c=1.3附近。


3.3適用性分析
為分析本文提出的約束因子計算方法的適用性,與Guo方法進行對比研究。Guo等[26]將有限厚板穿透裂紋中約束因子α的數值解與歸一化的平面應力裂尖塑性區尺寸rp0/t相聯系,給出了約束因子計算公式:


式中,rp0為加載時裂紋前緣裂紋面上塑性區尺寸,t為試樣厚度,ν為材料泊松比。進一步地,于培師等[16-17]基于離面約束等效原則,通過表面裂紋前緣任一點處的離面約束參數Tz與厚度為Beq的中心穿透直裂紋厚度方向平均離面約束參數Tz相同的原則,將表面裂紋前緣上任一點處的約束狀態等效為一定厚度的中心穿透裂紋約束狀態。經過系統分析表面裂紋前緣不同位置處Tz的分布,得到裂紋前緣線上弧度為φ的位置處等效厚度的擬合公式:

聯合式(4)~式(9),可以求得表面裂紋前緣上不同位置處的約束因子α值。
圖14給出了使用本文三維有限元分析方法得到的表面裂紋前緣最深點處約束因子與Guo方法計算的約束因子對比結果。

可以看到,Guo方法計算結果和本文有限元分析結果均能反映表面裂紋最深點處約束因子隨著載荷水平以及裂紋尺寸的增加總體呈減小趨勢。但Guo方法計算的約束因子值較本文有限元分析結果偏小,且隨a/t和a/c的變化趨勢不如本文有限元分析結果顯著。這可能是由于Guo方法通過厚度等效以及數據擬合等手段獲得了計算方程,存在一定的平均效果,而有限元數值仿真更能反映局部應力、裂紋形狀以及材料特性的影響。此外,針對本文數值分析中出現了a/t較小時約束因子先增大在降低的現象,而Guo方法結果變化趨勢不明顯,說明本文方法能夠更好地反映表面裂紋尺寸和形狀綜合作用的影響。
針對表面位置處的約束因子,Guo方法根據式(7)和式(9)可以得到此處等效厚度Beq趨近0,因此約束因子α趨近1。而本文數值分析得到的裂紋表面點處約束因子在1~1.5,且隨a/t、a/c和S/σ0變化而變化。可見本文提出的數值方法能更好的反映不同裂紋尺寸、形狀和載荷水平下的裂紋前緣實際約束情況。此外,從式(7)可知,Guo方法僅給出了裂紋半軸比a/c≤1情況下的約束因子計算方法,本文數值方法則能進一步考慮a/c>1的情況,具有更廣泛的裂紋形狀適用性。
上述對比研究表明,程序化仿真計算方法解決了裂紋前緣三維約束因子大量、快速計算的問題,同時具有精度高和適用性廣的特點。
4、結論
本文利用彈塑性有限元方法對發動機轉子用TC4鈦合金表面裂紋前緣三維約束因子分布特性進行了研究,得到以下結論:
(1)表面裂紋前緣約束因子呈“倒U型”分布,從試樣表面位置到最深位置,約束效應由近平面應力狀態(α≈1.25)轉變為近平面應變狀態(α≈2.5)。裂紋表面點處約束因子隨著裂紋尺寸、裂紋形狀以及外加載荷的變化不明顯。裂紋最深點處約束因子隨外加載荷和裂紋尺寸的增大而減小,受裂紋形狀變化影響較小。等值線圖表明,裂紋前緣約束因子受裂紋尺寸、裂紋形狀以及外加載荷耦合作用,未表現出明顯的、單調的變化趨勢。
(2)對比研究了Guo方法和本文數值計算方法獲得的表面裂紋三維約束因子,結果表明有限元數值仿真更能反映局部應力、裂紋形狀以及材料特性的影響,且能表征表面點處的約束因子分布。
在航空發動機鈦合金壽命限制件的疲勞裂紋擴展研究中,可以利用本文建立的程序化分析方法,首先計算得到不同形狀和尺寸的裂紋前緣三維約束因子分布;然后結合疲勞裂紋閉合模型計算裂紋有效應力強度因子范圍;進而基于有效應力強度因子范圍為驅動力的裂紋擴展速率方程,進行裂紋前緣不同位置處的擴展預測;最終實現考慮三維裂紋前緣變約束效應的航空發動機鈦合金轉子壽命限制件的裂紋擴展壽命預測,并為最終的損傷容限評估提供支撐。
在后續的研究中,可進一步開展不同材料、裂紋形狀和加載載荷下的約束因子計算分析,建立基礎數據庫,進而發展基于數據驅動的快速、實用、高精度的計算模型,以便于在工程實踐中應用。致謝:感謝國家自然科學基金和浙江省自然科學基金的資助。
參考文獻
[1] US Department of Transportation Federal Aviation Administration, Advisory Circular 33.70-1: Guidance material for aircraft engine-life-limited parts requirements[S], Washington DC, US, FAA, 2009.
[2] 中國民用航空局.航空發動機適航規定(CCAR-33R2) [S].北京:中國民用航空局, 2016.
[3] 丁水汀, 周惠敏, 劉俊博, 等. 航空發動 機限壽件表面特征概率損傷容限評估[J]. 航空動力學報, 2021,36(2):421-430.
DING S T, ZHOU H M, LIU J B, et al. Probabilistic damage tolerance assessment of surface features of aero engine life limited parts[J]. Journal of Aerospace Power, 2021,36(2):421-430. (in Chinese)
[4] DANIEWICZ S R. A modified strip-yield model for prediction of plasticity-induced closure in surface flaws[J]. Fatigue & Fracture of Engineering Materials & Structures, 1998(21):885-901.
[5] TORIBIO J, MATOS J C, GONZÁLEZ B. Aspect ratio evolution associated with surface cracks in sheets subjected to fatigue[J]. International Journal of Fatigue, 2016,92:588-595.
[6] TORIBIO J, MATOS J C, GONZÁLEZ B. Aspect ratio evolution in embedded, surface, and corner cracks in finite-thickness plates under tensile fatigue loading[J]. Applied Sciences, 2017,7(7):746.
[7] CORBANI S, CASTRO J T P, MIRANDA A C O, et al. Crack shape evolution under bending-induced partial closure[J]. Engineering Fracture Mechanics, 2018,188:493-508.
[8] ZHAO J H, GUO W L, SHE C M. Three-parameter approach for elastic-plastic fracture of the semi-elliptical surface crack under tension[J]. International Journal of Mechanical Sciences, 2008,50(7):1168-1182.
[9] ZHAO J H, GUO W L. Three-parameter KT-Tz characterization of the crack-tip fields in compact-tension-shear specimens[J]. Engineering Fracture Mechanics, 2012,92:72-88.
[10] CUI P F, GUO W L. Higher order J-T-A solution for three-dimensional crack border fields in power-law hardening solids[J]. Engineering Fracture Mechanics, 2019,222:106736.
[11] CUI P F, GUO W L. Crack-tip-openingdisplacement-based description of threedimensional elastic-plastic crack border fields[J]. Engineering Fracture Mechanics, 2020,231:107008.
[12] 郭萬林, 許磊, 周正. 三維計算斷裂力學[J]. 計算力學學報, 2016,33(4):431-440.
GUO W L, XU L, ZHOU Z. Computational mechanics of three-dimensional fracture[J]. Chinese Journal of Computational Mechanics, 2016,33(4):431-440. (in Chinese)
[13] WILLIAMS M L. On the stress distribution at the base of a stationary[J]. Journal of Applied Mechanics, 1957,24:109-114.
[14] O'DOWD N P. Applications of two parameter approaches in elastic-plastic fracture mechanics[J]. Engineering Fracture Mechanics, 1995,52(3): 445-465.
[15] GUO W L. Three-dimensional analyses of plastic constraint for through-thickness cracked bodies[J]. Engineering Fracture Mechanics, 1999,62(4):383-407.
[16] YU P S, GUO W L. An equivalent thickness conception for prediction of surface fatigue crack growth life and shape evolution[J]. Engineering Fracture Mechanics, 2012,93:65-74.
[17] YU P S, GUO W L. An equivalent thickness conception for evaluation of corner and surface fatigue crack closure[J]. Engineering Fracture Mechanics, 2013,99:202-213.
[18] ZHAO J H, GUO W L, SHE C M, et al. Three dimensional K-Tz stress fields around the embedded center elliptical crack front in elastic plates[J]. Acta Mechanica Sinica, 2006,22(2):148-155.
[19] GUO W, ZHU J C, GUO W L. Equivalent thickness-based three dimensional stress fields and fatigue growth of part-through cracks emanating from a circular hole[J]. Engineering Fracture Mechanics, 2020,228:106927.
[20] MOSTAFAVI M, SMITH D J, PAVIER M J. Reduction of measured toughness due to outof-plane constraint in ductile fracture of aluminium alloy specimens[J]. Fatigue & Fracture of Engineering Materials & Structures, 2010,33(11):724-739.
[21] YANG J. Unified correlation of constraint and strength mismatch with fracture toughness of bimetallic joint[J]. Procedia Engineering, 2015,130:853-860. [22] 徐建勇, 王國珍, 軒福貞,等. 基于裂尖張 開位移的統一拘束參數與材料斷裂韌性 的關聯[J]. 壓力容器, 2018,35(11):16-22.
XU J Y, WANG G Z, XUAN F Z, et al. Correlation of unified constraint parameter based on CTOD with fracture toughness of material[J]. Pressure Vessel Technology, 2018,35(11):16-22. (in Chinese) [23] NEWMAN J C. A crack-closure model for predicting fatigue crack growth under aircraft spectrum loading[M]. West Conshohocken, PA: ASTM International, 1981.
[24] MACHNIEWICZ T. Fatigue crack growth prediction models for metallic materials Part II: Strip yield model - choices and decisions[J]. Fatigue & Fracture of Engineering Materials & Structures,2013,36(4):361-373.
[25] NEWMAN J C, BIGELOW C A, SHIVAKUMAR K N. Three-dimensional elastic-plastic finite-element analyses of constraint variations in cracked bodies[J]. Engineering Fracture Mechanics, 1993, 46(1):1-13.
[26] GUO W L, WANG C K, ROSE L R F. The influence of cross-sectional thickness on fatigue crack growth[J]. Fatigue & Fracture of Engineering Materials & Structures, 1999,22(5):437-444. [27] WANG G S, BLOM A F. A strip model for fatigue crack growth predictions under general load conditions[J]. Engineering Fracture Mechanics, 1991,40(3):507-533.
[28] MCMASTER F J, SMITH D J. Predictions of fatigue crack growth in aluminium alloy 2024-T351 using constraint factors[J]. International Journal of Fatigue, 2001,23:93- 101.
[29] 吳連生, 于培師, 韋朋余, 等. 基于三維 理論的 TC4ELI 鈦合金疲勞裂紋擴展研究[J]. 船舶力學, 2022,26(9):1354-1362.
WU L S, YU P S, WEI P Y, et al. Fatigue crack growth of TC4ELI titanium alloy based on three-dimensional theory[J]. Journal of Ship Mechanics, 2022,26(9):1354-1362. (in Chinese)
[30] 許磊. 基于裂紋閉合模型的三維裂紋疲勞 擴展分析[D].南京:南京航空航天大學, 2018. XU L. Three-dimensional fatigue crack growth analysis based on crack closure model[D]. Nanjing: Nanjing University of Aeronautics and Astronautics, 2018. (in Chinese)
[31] 周斌. 某鎳基粉末高溫合金三維裂紋擴展 試驗與分析研究[D].南京:南京航空航天 大學, 2022.
ZHOU B. Experimental and analysis study on three-dimensional crack growth of a Nickel-base powder superalloy[D]. Nanjing: Nanjing University of Aeronautics and Astronautics, 2022. (in Chinese)
[32] HUANG X N, CHEN C Y, XUAN H J. Experimental and analytical investigation for fatigue crack growth characteristics of an aero-engine fan disc[J]. International Journal of Fatigue, 2021,148:106252.
[33] MCCLUNG R C, LEVERANT G R, ENRIGHT M P, et al. Turbine Rotor Material Design: Phase II[R]. Washington, DC: Federal Aviation Administration, Department of Transportation, 2008.
[34] DANIEWICZ S R, AVELINE C R. Stripyield and finite element analysis of partthrough surface flaws[J]. Engineering Fracture Mechanics, 2000,67(1):21-39.
tag標簽:鈦合金


