發布日期:2020-4-7 15:06:37
中華人民共和國國家標準 GB/T 26283—2010
鋯及鋯合金無縫管材
Zirconium and zirconium alloy seamless tubes
2011-01-14 發布 2011-11-01 實施
中華人民共和國國家質量監督檢驗檢疫總局 中國國家標準化管理委員會 發布
前言
本標準由中國有色金屬工業協會提出。
本標準由全國有色金屬標準化技術委員會歸口。
本標準由寶鈦集團有限公司、寶雞鈦業股份有限公司負責起草。
本標準由廣東東方鋯業科技股份有限公司參加起草。
本標準主要起草人:黃永光、李農、王永梅、佟學文、王韋琪、孫亞光。
鋯及鋯合金無縫管材
1、范圍
本標準規定了鋯及鋯合金無縫管材的要求、試驗方法、檢驗規則、標志、包裝、運輸、貯存及合同(或訂貨單)內容。
本標準適用于冷軋(冷拔)方法生產的鋯及鋯合金無縫管。
本標準中的Zr-0、Zr-2和Zr-4牌號的管材適用于核工業,Zr-1、Zr-3和Zr-5牌號的管材適用于一般工業,可用于熱交換器,也可用于管道。
2、規范性引用文件
下列文件中的條款通過本標準的引用而成為本標準的條款。凡是注日期的引用文件,其隨后所有的修改單(不包括勘誤的內容)或修訂版均不適用于本標準,然而,鼓勵根據本標準達成協議的各方研究是否可使用這些文件的最新版本。凡是不注日期的引用文件,其最新版本適用于本標準。
GB/T 228一2002 金屬材料 室溫拉伸試驗方法
GB/T 241 金屬管 液壓試驗方法
GB/T 242 金屬管 擴口試驗方法
GB/T 4338 金屬材料 高溫拉伸試驗方法
GB/T 6394一2002 金屬平均晶粒度測定法
GB/T 8180 鈦及鈦合金加工產品的包裝、標志、運輸和貯存
GB/T 12969.1 鈦及鈦合金管材超聲波探傷方法
GB/T 13747(所有部分) 鋯及鋯合金化學分析方法
GB/T 26314 鋯及鋯合金牌號和化學成分
3、要求
3.1 產品分類
3.1.1 產品的牌號、狀態和規格
冷軋(冷拔)鋯及鋯合金無縫管材的牌號、狀態和規格應符合表1的規定。

3.1.2 標記示例
產品標記按產品名稱、用途、牌號、狀態、規格、標準編號的順序表示。標記示例如下:
示例1:
按本標準生產的換熱器用Zr-1冷軋無縫管,退火狀態,外徑為30mm,壁厚為2mm,長度為3000mm,標記為:
管T Zr-1 MΦ30×2×3000 GB/T 26283一2010。
示例2:
按本標準生產的管道用Zr-3冷軋無縫管,退火狀態,外徑為50mm,壁厚為2mm,長度為5000mm,標記為:
管P Zr-3 MΦ50×2×5000 GB/T 26283一2010。
3.2 化學成分
產品的化學成分及需方復驗時的成分允許偏差應符合GB/T 26314的規定。
3.3 尺寸和尺寸允許偏差
3.3.1 Zr-0、Zr-2和Zr-4管材的外徑和壁厚允許偏差應符合表2的規定。對于Zr-1、Zr-3和Zr-5管材,熱交換器用管材的外徑和壁厚允許偏差應符合表3的規定,一般工業管道用管材的外徑和壁厚允許偏差應符合表4的規定。



3.3.2 管材的長度應符合表5的規定。

3.3.3 管材的定尺或倍尺長度應在其不定尺長度范圍內。定尺長度≤6000mm時,允許偏差為+6mm,定尺長度≥6000mm時,允許偏差為+10mm。倍尺長度還應計入管材的切口量,每一切口量為5mm。
3.3.4 管材兩端應切平整,不應有毛刺,切斜應符合表6的規定。

3.3.5 管材的彎曲度應符合表7的規定。

3.3.6 管材的不圓度及壁厚不均不應超出外徑和壁厚的允許偏差。
3.4 力學性能
3.4.1 管材的室溫力學性能應符合表8的規定。
3.4.2 需方要求并在合同中注明時,Zr-2和Zr-4管材可進行高溫力學性能檢驗。外徑不大于16mm管材的高溫力學性能應符合表9的規定。


3.5 工藝性能
3.5.1 擴口試驗
熱交換器用Zr-1、Zr-3和Zr-5管材應進行擴口試驗,擴口采用頂芯錐度60°的工具,擴口后試樣內徑的擴大率為15%時,試樣端部不得出現裂紋。
3.5.2 液(氣)壓試驗
3.5.2.1 管材應進行液壓或氣壓試驗。需方選定的試驗方式應在合同(或訂貨單)注明。合同(或訂貨單)中未注明時,供方可任選一種試驗。
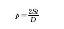
3.5.2.2 液壓試驗時,試驗壓力按以下公式計算。需方對試驗壓力有特殊要求時應在合同(或訂貨單)中注明。

式中:
P------試驗壓力, 單位為兆帕(MPa);
S------允許應力, 取相應規定非比例延伸強度最小值的50%, 單位為兆帕(MPa);
D------管材名義外徑,單位為毫米(mm);
t------管材名義壁厚,單位為毫米(mm)。
當管材的名義外徑不大于76mm時, 液壓試驗的最大壓力不大于17.2MPa; 當管材的名義外徑大于76mm時, 液壓試驗的最大壓力不大于19.3MPa。試驗時壓力保持5s,管材應不發生畸變或泄漏。
3.5.2.3 氣壓試驗時, 管材內部氣壓試驗的壓力為1.0MPa, 試驗時壓力保持5g, 管材應不發生泄漏。
3.6 超聲波檢測
管材應進行超聲波探傷檢驗,標準傷(U形)尺寸及探傷結果的驗收按GB/T 12969.1的相關要求。
3.7 腐蝕性能
3.7.1 Zr-2和Zr-4管材應進行腐蝕性能試驗。試樣在400℃±5℃、10.3±0.7 0.5MPa的水蒸氣中進行72h或336h腐蝕,經腐蝕試驗后,試樣內,外表面應為黑色、致密、光澤均勻的氧化膜,試樣72h的增重量應不大22mg/dm2。當72h試驗結果不合格時,可繼續進行累計時間(或重新取樣進行)336h的腐蝕試驗,其增重量應不大于38mg/dm2.
3.7.2 需方要求并在合同(或訂貨單)中注明時,一般工業用鋯管材的腐蝕性能試驗由供需雙方協商確定。
3.8 癤狀腐蝕
需方要求并在合同(或訂貨單)中注明時,核用包殼管可進行癤狀腐蝕性能試驗。癤狀腐蝕試樣先在400℃±5℃、10.3±0.7 0.3 MPa的水蒸氣中進行72h預生氧化膜處理, 試驗結果滿足3.7要求后,接著在500℃±3℃、10.3±0.70.5MPa的高溫水蒸氣中進行腐蝕試驗。試驗時間和試驗后檢測用對比標樣由供需雙方協商確定。
3.9 氫化物取向
需方耍求并在合同(或訂貨單)中注明時,Zr-0、Zr-2和Zr-4管材可進行氫化物取向的檢驗。成品管材氫化物取向因子F。由雙方協商確定。
3.10 金相組織
再結晶退火的Zr-0、Zr-2和Zr-4管材的平均晶粒度應不粗于GB/T 6394-2002中的7級。
3.11 外觀質量
3.11.1 管材內、外表面應潔凈,無裂紋、折疊、起皮、針孔等目視可見的缺陷。
3.11.2 管材表面的局部缺陷允許清除,但清除后不得使外徑和壁厚超出允許偏差。
3.11.3 管材表面允許有不超出外徑和壁厚允許偏差的劃傷、凹坑、凸點和矯直痕跡。允許管材酸洗后存在不同的顏色。
3.12 表面狀況
Zr-0、Zr-2和Zr-4管材外表面粗糙度Ra不大于1.6μm,內表面粗糙度Ra不大于3.2μm。
4、試驗方法
4.1 化學成分分析方法
管材的化學成分分析按GB/T 13747進行。
4.2 尺寸及允許偏差測量方法
管材的尺寸檢驗用相應精度的量具進行。
4.3 力學性能試驗方法
4.3.1 管材室溫拉伸試驗方法按GB/T 228進行。對于外徑不大于35mm的管材采用GB/T 228一2002中的S8試樣;對于外徑大于35mm的管材采用S4試樣。
4.3.2 管材高溫拉伸試驗方法按GB/T 4338進行。
4.4 工藝性能試驗方法
4.4.1 管材擴口試驗按GB/T 242進行。
4.4.2 管材液壓試驗按GB/T 241進行。
4.4.3 管材氣壓試驗按供需雙方認可的方法進行。
4.5 超聲波探傷檢驗方法
管材的超聲波探傷檢驗按GB/T 12969.1的規定進行。
4.6 腐蝕性能檢驗方法
管材的腐蝕性能按供需雙方認可的方法進行。
4.7 癤狀腐蝕檢驗方法
管材的癤狀腐蝕性能按供需雙方認可的方法進行。
4.8 氫化物取向檢驗方法
管材的氫化物取向按供需雙方認可的方法進行。
4.9 金相組織檢驗方法
管材的平均晶粒度測定按GB/T6394的規定進行。
4.10 外觀質量檢驗方法
管材的外觀質量檢查用目視檢驗。
4.11 表面狀況檢驗方法
管材的表面狀況采用試塊對比法進行。
5、檢驗規則
5.1 檢查和驗收
5.1.1 產品由供方質量檢驗部門檢查,保證產品質量符合本標準及合同(或訂貨單)的規定,并填寫質量證明書。
5.1.2 需方收到的產品,可按本標準的規定進行驗收,如檢驗結果與本標準及合同(或訂貨單)的規定不符時,應在收到產品之日起三個月內向供方提出,由供需雙方協商解決。如需仲裁,仲裁取樣在需方由供需雙方共同進行。
5.2 組批
產品應成批提交驗收,每批應由同一牌號、熔煉爐號、規格、制造方法、狀態和同一熱處理爐批的產品組成。
5.3 檢驗項目及取樣
產品檢驗項目及取樣應符合表10的規定。
5.4 檢驗結果的判定
5.4.1 化學成分、力學性能、擴口試驗、腐蝕性能、癤狀腐蝕、氫化物取向及金相組織檢驗中,如有一個試樣檢驗結果不合格.則從該批取雙倍試樣對該不合格項目進行重復試驗,如重復試驗結果仍有一個試樣不合格時,則判該批產品不合格。但允許供方逐根對不合格項目進行檢驗,合格者交貨。
5.4.2 管材的尺寸及允許偏差、液壓試驗或氣壓試驗、超聲波檢驗、外觀質量及表面狀況不合格時,判單根不合格。

6、標志、包裝、運輸和貯存
6.1 標志
在檢驗合格的管材和包裝箱上應作如下標志:
a) 產品牌號:
b) 產品名稱;
e) 供應狀態;
d) 批號;
e) 本標準編號。
6.2 包裝、運輸和貯存
產品的包裝、運輸和貯存按GB/T8180的相關規定。
6.3 質量證明書
每批管材應附有質量證明書,注明如下內容:
a) 供方名稱;
b) 產品名稱:
e) 產品牌號、規格和狀態;
d) 熔煉爐號,批號、批重和件數:
e) 分析檢驗結果及質量檢驗部門印記;
f) 本標準編號:
g) 包裝日期。
7、合同(或訂貨單)內容
訂購本標準所列材料的合同(或訂貨單)應包括下列內容:
a)產品名稱;
b)牌號:
e)狀態;
d)尺寸規格;
e)重量或根數:
f)本標準編號;
g)管材用途;
h)其他。
tag標簽:鋯管標準


